Studie zu thermischen Eigenschaften von 266 nm tiefem Ultraviolett -Laser, der durch BBO -Kristall - 05 erzeugt wird
04 Theoretische Untersuchung der thermischen Eigenschaften
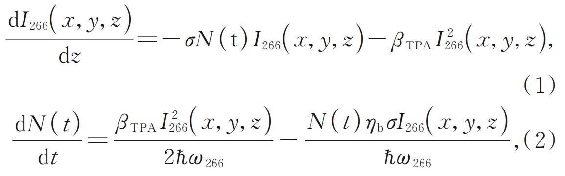
Das obige Experiment zeigt, dass der BBO -Kristall(www.wisoptic.com)erzeugt eine schwerwiegende Wärme im Prozess der Frequenzvierrupplung. Es ist bekannt, dass der Energiebandspalt des BBO -Kristalls 6,56 eV beträgt, während die einzelne Photonenenergie von 266 nm und 532 nm Lasern 4,66 EV bzw. 2,33 eV beträgt. Theoretisch hat der Kristall keine einzelne Photonenabsorption von 266 nm und 532 nm Lasern. Nur weil die geringe Menge an im Kristall enthaltenen Verunreinigungen eine neue Struktur des Energieniveaus führt und zu einer schwächeren linearen Absorption führt, ist der dominante Faktor, der Wärmeerzeugung im Kristall verursacht, die Zwei-Photonen-Absorption von 266 nm Laser. Bei der Betrachtung der Zwei-Photonen-Absorption von 266 nm Laser durch BBO-Kristall im Prozess der Frequenzviertel wird angenommen, dass die Zwei-Photonen-Absorption die Bildung von dynamischen Farbzentrum-Defekten im Kristall verursacht. Die Gleichungen, die die Intensität des ultravioletten Lichts und die Dichte der Farbzentren steuern, sind:
Wo:ICH266(x, y, z) ist die 266 -nm -Laser -Leistungsdichteverteilung;βTPAist der Zwei-Photonen-Absorptionskoeffizient von BBO-Kristall für 266 nm Laser;ω266ist die Winkelfrequenz von 266 nm Laserphotonen;σist der Color Center -Defektabsorptionsquerschnitt;ηBist der Farbzentrum -Defekt -Bleicheffizienz;N(T) ist die zeitabhängige Farbzentraldichte. WannT= 0,,N(T) = 0, damit wir bekommen können:
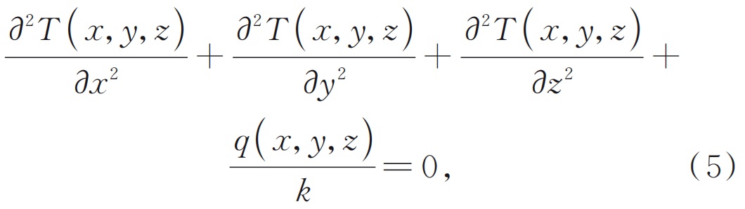
Unter einer bestimmten UV-Leistung eine Reihe nichtlinearer Absorptionsverluste, die durch Zwei-Photonen-Absorption und die von ihr im BBO erzeugten Farbzentrumendefekte verursacht wurden(www.wisoptic.com)Kristalkann mit dem nichtlinearen Absorptionskoeffizienten gemessen werdenβNLA, deren Ausdruck in der Formel (4) gezeigt ist. Wenn der BBO-Kristall aufgrund einer nichtlinearen Absorption Wärme erzeugt, wird innerhalb des Kristalls unter festen externen Temperaturkontrollbedingungen eine relativ stabile Temperaturfeldverteilung gebildet, wodurch die Poisson-Gleichung der stationären Wärmeleitung gehorcht wird:
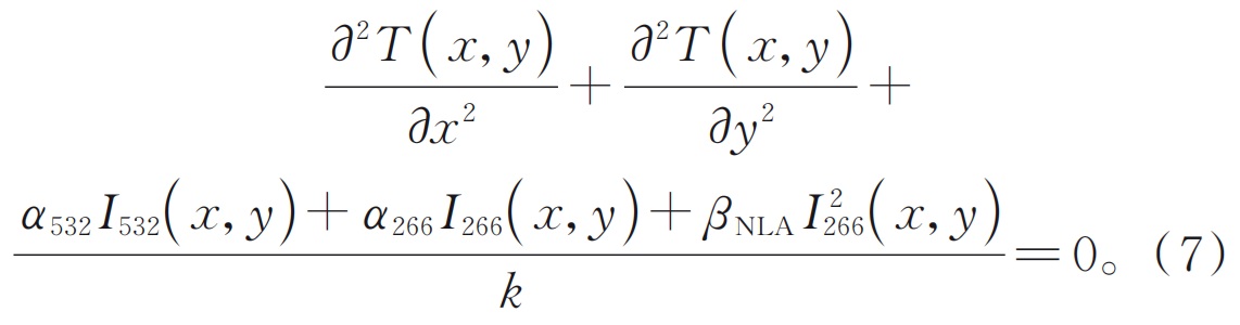
Wo:T(x, y, z) ist die Temperaturverteilung im Kristall;kist die thermische Leitfähigkeit, unter der Annahme, dass der Koeffizient innerhalb des Kristalls isotrop ist, der Durchschnittswert der thermischen Leitfähigkeit in die Richtungen senkrecht zu und parallel zur optischen Achse genommen werden;Q(x, y, z) repräsentiert die Wärme, die durch die Wärmequelle pro Volumen der Einheit pro Zeiteinheit im Kristall erzeugt wird. Bei der Betrachtung der nichtlinearen Absorption des Kristalls zum 266 -nm -Laser wird auch die geringe lineare Absorption des Kristalls auf die 266 nm und 532 nm Laser berücksichtigt. Sein Ausdruck ist:
Wo:α532Undα266sind die linearen Absorptionskoeffizienten von BBO -Kristall für 532 nm bzw. 266 nm Laser;ICH532(x, y, z) ist die Leistungsdichteverteilung von 532 nm Laser. Da der Vierfachfrequenzkristall kürzer ist, ändert sich die Leistungsdichte von grünem Licht und ultraviolettes Licht in der Längsrichtung des Kristalls nicht viel und die Temperatur der Kristallseite wird kontrolliert, sodass die Temperaturänderung in der Längsrichtung des Kristalls ignoriert werden kann. Formel (5) kann ausgedrückt werden als:
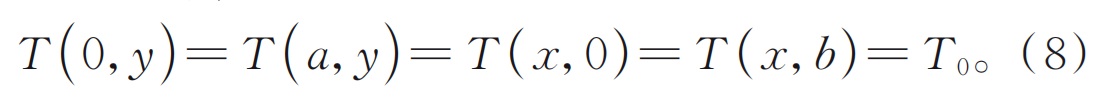
Angenommen, die Querschnittsfläche des BBO-Kristalls ist ((A×B) mm2Die Seite des Kristalls wird bei einer konstanten Temperatur von gehaltenT0durch eine Heizvorrichtung und ein rechteckiges Koordinatensystem wird mit jedem Scheitelpunkt des Kristalls als Ursprung konstruiert. Während des Wärmeleitungsverfahrens des BBO -Kristalls folgt es dann der ersten Art von Randbedingungen: dann:
Wenn der Vorfall 532 nm grünes Licht und das erzeugte 266 nm tiefe ultraviolette Laser entlang der Mitte des Kristalls gemäß den Randbedingungen ausbreiten, kann eine allgemeine Lösung des Kristalltemperaturfeldes gegeben werden, das aus zwei Eigenfunktionen besteht:
Wo:Amnist der unbekannte Koeffizient. Die Gleichung von Gleichung (9) in die Wärmeleitungsgleichung (7) und unter Verwendung der Orthogonalität trigonometrischer Funktionen können wir den Ausdruck des unbekannten Koeffizienten erhalten:
Vorausgesetzt, dass der grüne Licht und der ultraviolette Laser beide TEM sind00MODE GAUSSIAN BEAMS, der Ausdruck ihrer Lichtintensitätsverteilung ist:
WoP532UndP266sind die Kräfte von grünem Licht bzw. ultraviolettem Licht;ω0ist der Taillenradius von grünem Licht im BBO -Kristall(www.wisoptic.com). Da grünes Licht und ultraviolettes Licht Gaußschen Strahlen sind und sich entlang der Mitte des Kristalls ausbreiten, ist die Lichtintensität während des Frequenzvervierfachungsprozesses am stärksten in der Mitte des Kristalls, und die erzeugte Wärme ist ebenfalls am meisten. Daher ist die Temperatur innerhalb des Kristalls in einem Gradienten verteilt und die Phasenfehlpaarungsbedingungen an jedem Ort sind ebenfalls unterschiedlich. Zu diesem Zeitpunkt kann die höchste Umwandlungseffizienz erhalten werden, indem der Phasenanpassungszustand in der Mitte des Kristalls erfüllt wird. Daher unter der Injektion des grünen Lichts verschiedener Kräfte, die im Frequenzvervierfachungsexperiment erhalten wurdenΔtder Kristallheizungsvorrichtung, wenn die optimale Leistung ultraviolettes Licht aus der Leistung erreicht ist, ist die Wärme in der Mitte des Kristalls, und die Temperaturverteilung in der Mitte des Kristalls erfüllt:
Bei der Berechnung dieses Papiers die KristallgrößeAAnwesendBsind beide 5 mm, der Green Beam Taille Radiusω0ist 350 μm, die thermische Leitfähigkeitkist 1,4 w/(m · k), die linearen Absorptionskoeffizientenα266Undα532des Kristalls für 266 nm Laser und 532 nm Laser sind beide 0,01 cm-1, der Color Center Defekt Absorptionsquerschnittσ= 8 × 10-17cm2und die Farbzentrumendichte erreicht bei jedem Wert einen stationären Zustand, dh die ZeitTist ∞. Verwenden der Finite -Elemente -Analyse -Software gemäß den Gleichungen (9) bis (13) den nichtlinearen AbsorptionskoeffizientenβNLAund die normalisierte Farbzentrumendichte bei verschiedenen passenden Temperaturen, die die Kristallwärmungserzeugung, verschiedene ultraviolette Laserleistungen, beeinflussen, können theoretisch gelöst werden. Die Berechnungsergebnisse sind in Abbildung 5 dargestellt.










